圆锥笔记本电脑推荐知乎,圆锥工具图片?
本文摘要: 大家好,圆锥笔记本电脑推荐知乎相信很多的网友都不是很明白,包括圆锥工具图片也是一样,不过没有关系,接下来就来为大家分享关于圆锥笔记本电脑推荐知乎和圆锥工具图片的一些知识点,大家可以关注收藏,免得下次来找不到哦,下面我们开始吧!圆锥曲线硬算公式圆锥曲线硬解定理秒杀知乎〖One〗、关于圆锥曲线硬算公...
大家好,圆锥笔记本电脑推荐知乎相信很多的网友都不是很明白,包括圆锥工具图片也是一样,不过没有关系,接下来就来为大家分享关于圆锥笔记本电脑推荐知乎和圆锥工具图片的一些知识点,大家可以关注收藏,免得下次来找不到哦,下面我们开始吧!
圆锥曲线硬算公式圆锥曲线硬解定理秒杀知乎
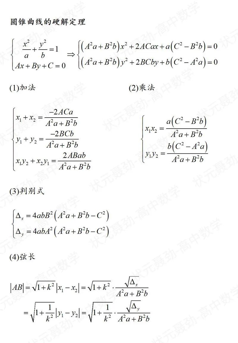
〖One〗、关于圆锥曲线硬算公式,圆锥曲线硬解定理秒杀知乎这个很多人还不知道,今天来为大家解答以上的问题,现在让我们一块儿来看看吧!就是算 、 x1+x2 、x1* xy1+yy1*y2 及相交弦长,如果有固定例题的话没必要用这个公式了,按照传统方法更快,其实就是方便算 、 x1+x2 、x1* xy1+yy1*y2。

基本不等式:基本都在这里了!知乎第一期专题分享(西交学长引领的基本不等...
〖One〗、这就是基本不等式在代数角度的推导过程,它直接基于完全平方式的非负性质,简洁明了。几何角度圆 + 直角三角形(射影定理):在圆中,利用直角三角形的射影定理可以推出基本不等式。
〖Two〗、数列的前$n$项和$S_n$表示数列从第1项到第$n$项的和。数列的分类等差数列:每一项与前一项的差(即公差)相等。通项公式为$a_n = a_1 + (n - 1)d$,其中$a_1$是首项,$d$是公差。

高三如何有效复习
如果条件允许,可以选取参加一些辅导机构的课程或辅导班。辅导机构通常具有专业的师资团队和丰富的教学资源,可以提供更加全面和系统的复习指导。综上所述,高三党进行复习需要夯实基础、合理分类与笔记总结、制定高效复习策略、保持积极心态以及寻求外部帮助。希望这些建议能够帮助你更好地进行复习,取得优异的成绩。
高三高效的复习,要学会梳理自身学习情况,以课本为基础,结合自己做的笔记、试卷、掌握的薄弱环节、存在的问题等,合理的分配时间,有针对性、具体的去一点一点的去攻克、落实。哪块内容掌握的不好就多花点时间,复习的时候要系统化,不要东一下西一下,最后啥都没复习好。
及时复习:完成新内容学习后,24小时内进行首次复习。例如,晚自习结束前用10分钟回顾当天数学公式,或睡前默写语文古诗文重点句。循环复习:制定复习计划表,按“1『3』『7』『1』5”周期重复记忆。如英语单词每天新学50个,同时复习前1天、3天、7天的内容,15天后进行总复习。
高三生有效复习的方法主要包括以下几点:制定有序的时间安排:制定每天学习计划,具体到各个时间段,特别是自主学习时间段,确保高效率学习。避免学习缺乏安排,减少自习时间的随意性,防止大好时光被浪费。平衡老师进度与个人节奏:既要跟上老师的复习进度,又要根据自己的学情进行个性化学习。

高三怎样复习效率比较好
心理建设:通过深呼吸、冥想(如每天5分钟“4『7』『8』呼吸法”)缓解焦虑,避免因一次模拟考失利而否定整体复习效果。关键提醒:一轮复习是知识体系重构的黄金期,需以“扎实基础+精准突破”为目标,避免追求“速成”或“偏题怪题”。坚持每天复盘(如睡前10分钟回顾当日收获),及时调整策略,方能实现效率最大化。
提升复习效率,夯实知识体系以基础为核心,避免盲目刷题复习需回归教材与考纲,确保基本概念、公式、定理、原理清晰无误(如数学三角函数公式、物理牛顿定律等)。通过构建知识框架图或思维导图,将零散知识点系统化。
合理安排休息,保持身体状态以支撑长期复习。
一轮复习:一轮复习是高三复习的重中之重,主要以课本为主,注重基础知识的巩固。学生应紧跟老师的复习节奏,做好课前预习、课堂笔记和课后复习。课前预习:提前了解老师将要讲解的内容,标记出不懂或难以理解的部分。课堂笔记:认真听讲,记录老师强调的重点和难点,以及解题方法和技巧。
高三党高效备考需以提高学习效率为核心,通过统筹规划、时间管理、限时训练、科学刷题和利用琐碎时间五方面实现高效复习,具体方法如下:做好统筹规划,明确强弱科目标高三学生需全面分析自身学习情况,识别优势科目与弱势科目。弱势科目因进步空间大,对总成绩提升影响显著,应优先投入精力攻克。
提高高三学习效率可从以下方面入手:坚持运动高三学习任务繁重,长期伏案易导致身体机能下降。每天抽出10『1』5分钟进行跑步等有氧运动,能促进血液循环,增强心肺功能,为大脑提供充足氧气。运动后产生的内啡肽还能缓解焦虑情绪,使学习时注意力更集中。

高三怎么复习?
〖One〗、高三语文复习需从知识积累和题型研究两个核心角度展开,通过科学方法提升效率,具体策略如下:知识积累类内容:采用“滚记法”高效背诵适用范围:成语、文言实词/虚词、名篇名句、英语单词等需记忆的内容。操作步骤:第一轮背诵:使用借鉴书(如《五年高考三年模拟》)或自备资料,逐条背诵知识点(如成语)。
〖Two〗、做好笔记:高三老师上课讲得快,笔记不必像高一那样工整、专门搞个本本。每节课老师会发讲义,你只需在讲义上边听边批注边标记(用红笔),解答题的笔记记录解题思路大概,课下补充完整。每个章节的讲义、练习和试卷用一个文件夹总结在一起,复习时重点看红笔标记的内容。
〖Three〗、高三生进行总复习可借鉴以下方法,通过系统规划与针对性训练实现高效提分:构建完整知识体系系统梳理三年知识:高三阶段需对高一至高三的所有知识点进行全面回顾,重点补充遗忘或遗漏的内容。例如,数学可通过思维导图串联公式与定理,英语可按语法模块总结时态、从句等核心规则。
〖Four〗、一轮复习:一轮复习是高三复习的重中之重,主要以课本为主,注重基础知识的巩固。学生应紧跟老师的复习节奏,做好课前预习、课堂笔记和课后复习。课前预习:提前了解老师将要讲解的内容,标记出不懂或难以理解的部分。课堂笔记:认真听讲,记录老师强调的重点和难点,以及解题方法和技巧。
〖Five〗、可以选取参加一些辅导机构的课程或辅导班。辅导机构通常具有专业的师资团队和丰富的教学资源,可以提供更加全面和系统的复习指导。综上所述,高三党进行复习需要夯实基础、合理分类与笔记总结、制定高效复习策略、保持积极心态以及寻求外部帮助。希望这些建议能够帮助你更好地进行复习,取得优异的成绩。
如果你还想了解更多这方面的信息,记得收藏关注本站。



还没有评论,来说两句吧...